Section 106 Review: Are we doing our homework?

Started by sheclown, June 07, 2013, 07:16:21 AM

sheclown

#15
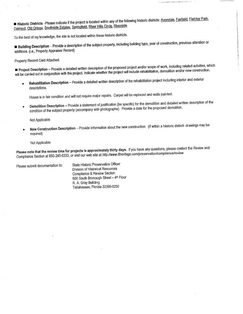
What we are required to do for all projects involving federal funds and housing.


sheclown



This form is an example of what should have been done with the two properties on east 2nd street. 

sheclown

#17
QuoteNational Historic Preservation Act of 1966
From Wikipedia, the free encyclopedia

National Historic Preservation Act of 1966

An Act to Establish a Program for the Preservation of Additional Historic Properties throughout the Nation, and for

Enacted by    U.S. Congress
Date passed    October 15, 1966
Status: In force

The National Historic Preservation Act (NHPA; Public Law 89-665; 16 U.S.C. 470 et seq.) is legislation intended to preserve historical and archaeological sites in the United States of America. The act created the National Register of Historic Places, the list of National Historic Landmarks, and the State Historic Preservation Offices.

Senate Bill 3035, the National Historic Preservation Act, was signed into law on October 15, 1966, and is the most far-reaching preservation legislation ever enacted in the United States. Several amendments have been made since. Among other things, the act requires federal agencies to evaluate the impact of all federally funded or permitted projects on historic properties (buildings, archaeological sites, etc.) through a process known as Section 106 Review.

QuoteSection 106 Review Process

Section 106 of the National Historic Preservation Act mandates federal agencies undergo a review process for all federally funded and permitted projects that will impact sites listed on, or eligible for listing on, the National Register of Historic Places. Specifically it requires the federal agency to "take into account" the effect a project may have on historic properties. It allows interested parties an opportunity to comment on the potential impact projects may have on significant archaeological or historic sites. The main purpose for the establishment of the Section 106 review process is to minimize potential harm and damage to historic properties.[26]

Any federal agency whose project, funding or permit may affect a historic property, both those listed or eligible for inclusion in the National Register of Historic Places, must consider the effects on historic properties and "seek ways to avoid, minimize or mitigate" any adverse effects on historic properties. The typical Section 106 Review involves four primary steps: 1 - Initiation of the Section 106 Review; 2 - Identification of Historic Properties; 3 - Assessment of Adverse Effects; and 4 - Resolution of Adverse Effects. Further steps may be required if there is a disagreement among the consulting parties on adverse effects or the resolution of the effects.[27]

The federal agency overseeing the project inventories the project area (or contracts with a qualified consultant) to determine the presence or absence of historic properties. They then submit to the SHPO a Determination of Effect/Finding of Effect (DOE/FOE) outlining to the SHPO the project, the efforts taken identify historic properties, and what effects, if any, the project may have on historic properties. If the project is believed to have no adverse effect on eligible historic resources and the SHPO and other consulting parties agree, then the Section 106 process is effectively closed and the project may proceed. Alternatively, if an adverse effect is expected, the agency is required to work with the local State Historic Preservation Office to ensure that all interested parties are given an opportunity to review the proposed work and provide comments. This step seeks ways for the project to avoid having an adverse effect on historic properties. Ideally, a Memorandum of Agreement is reached between all consulting parties outlining agreed to mitigation or avoidance of historic properties, but this is not always the case. Without this process historical properties would lose a significant protection. This process helps decide different approaches and solutions to the project, but does not prevent any site from demolition or alteration.[16]
Later amendments

The NHPA of 1966 made a huge impact in the communities and cities of America.[citation needed] Later amendments only strengthened the previously developed act. In 1969, the National Environmental Policy Act (NEPA) opened more opportunities for the NHPA to take effect. The NEPA protects a larger amount of area of property compared to the NHPA, because it includes the environment around it, which will sometimes inherently include historic sites. In 1976, Congress extended the Section 106 review process to include buildings, archaeological sites, and other historic resources eligible for listing, not just those already on the the National Register of Historic Places. In 1980, Section 110 was added. It added further requirements for federal agencies such as the need to establish their own internally staffed historic preservation programs. In 1992, amendments increased protection for Native American and Native Hawaiian preservation efforts.[10]
http://en.wikipedia.org/wiki/National_Historic_Preservation_Act_of_1966

strider

PSOS just received a public records report with the following properties demolished using NSP1 funds:

32206   Fairfield   1424 17th Street East   Demolition
32206   Springfield   245 17th Street East   Demolition
32206   Phoenix   1952 Evergreen Avenue   Demolition
32206   Springfield   1503 Ionia Street   Demolition
32206   Brentwood   533 Golfair Boulevard   Demolition
32206   East Jacksonville   1720 Danese Street   Demolition
32206   East Jacksonville   1509 Evergreen Avenue   Demolition
32206   East Jacksonville   1414 Florida Avenue   Demolition
32206   East Jacksonville   702 Phelps Street   Demolition
32206   East Jacksonville   1206 Franklin Street   Demolition
32206   East Jacksonville   630 Phelps Street   Demolition
32206   Long Branch   3126 Plateau Street   Demolition
32206   Phoenix   1971 Phoenix Avenue   Demolition
32206   Phoenix   2217 Evergreen Avenue   Demolition
32206   Brentwood   165 West 40th Street   Demolition
32206   Long Branch   2830 Blair Street   Demolition
32206   Springfield   1721 Ionia Street   Demolition
32206   Springfield   111 East 6th Street   Demolition
32206   East Jacksonville   915 Palmetto Street   Demolition
32206   Springfield   1221 Van Buren Street   Demolition
32206   Fairfield   1424 17th Street East   Demolition
32206   Springfield   245 17th Street East   Demolition
32206   Phoenix   1952 Evergreen Avenue   Demolition
32206   Springfield   1503 Ionia Street   Demolition
32206   Brentwood   533 Golfair Boulevard   Demolition
32206   East Jacksonville   1720 Danese Street   Demolition
32206   East Jacksonville   1509 Evergreen Avenue   Demolition
32206   East Jacksonville   1414 Florida Avenue   Demolition
32206   East Jacksonville   702 Phelps Street   Demolition
32206   East Jacksonville   1206 Franklin Street   Demolition
32206   East Jacksonville   630 Phelps Street   Demolition
32206   Long Branch   3126 Plateau Street   Demolition
32206   Phoenix   1971 Phoenix Avenue   Demolition
32206   Phoenix   2217 Evergreen Avenue   Demolition
32206   Brentwood   165 West 40th Street   Demolition
32206   Long Branch   2830 Blair Street   Demolition
32206   Springfield   1721 Ionia Street   Demolition
32206   Springfield   111 East 6th Street   Demolition
32206   East Jacksonville   915 Palmetto Street   Demolition
32206   Springfield   1221 Van Buren Street   Demolition
32206   East Jacksonville   721 East 4th Street   Demolition
32206   Brentwood   319 Woodbine Street   Demolition
32206   East Jacksonville   1477 Evergreen Avenue   Demolition
32206   East Jacksonville   1458 Florida Avenue   Demolition
32206   Brentwood   432 Golfair Boulevard   Demolition
32206   Brentwood   40 West 27th Street   Demolition
32206   East Jacksonville   636 Pippin Street   Demolition
32206   Long Branch   1424 East 26th Street   Demolition
32206   Phoenix   1230 East 13th Street   Demolition
32206   Brentwood   415 West 23rd Street   


"My father says that almost the whole world is asleep. Everybody you know. Everybody you see. Everybody you talk to. He says that only a few people are awake and they live in a state of constant total amazement." Patrica, Joe VS the Volcano.

strider

To our knowledge none of these demolitions prepared the necessary Section 106 review as required by federally funded programs.
"My father says that almost the whole world is asleep. Everybody you know. Everybody you see. Everybody you talk to. He says that only a few people are awake and they live in a state of constant total amazement." Patrica, Joe VS the Volcano.

Cheshire Cat

Holy Cow.  Did they send work orders to match up with the list?
Diane Melendez
We're all mad here!

JaxUnicorn

Quote from: strider on September 30, 2013, 05:16:03 PM
PSOS just received a public records report with the following properties demolished using NSP1 funds:

OMG...  I am at a complete loss for words here.  I'm going to go out on a limb here and say that although not all of these properties were located within a Nationally Recognized Historic District, they were all probably more than 50 years old.  And the State Historic Preservation Office (SHPO) has not received any Section 106 reviews on them.

Here's an excerpt from NEIGHBORHOOD STABILIZATION PROGRAM SECTION 106 TOOLKIT (emphasis is mine; entire document can be found here: portal.hud.gov/hudportal/documents/huddoc?id=DOC_12984.pdf)

QuoteThe materials included in this toolkit are designed to help Responsible Entities (HA!) comply with the historic preservation requirements of 36 CFR Part 800, "Protection of Historic Properties," that are linked to the use of the funds provided for in § 2301 of the Housing and Economic Recovery Act of 2008 (P.L. 110-289), a.k.a Neighborhood Stabilization Program.

All Federally funded programs, including the "Neighborhood Stabilization Program," are required by Section 106 of the National Historic Preservation Act of 1966 (16 U.S.C. 470f) to take into account the effects of their actions on historic properties and afford the Advisory Council on Historic Preservation (ACHP) a reasonable opportunity to comment on such actions.

#1. Threshold for Historic Properties:

Triggering Section 106 Review

When your project will alter environmental conditions or has the likelihood to effect historic properties, you will need to complete a Section 106 review prior to committing funds. The procedures and obligations for handling this review requirement can be found in the following sources:

• National Historic Preservation Act of 1966, as amended (16 U.S.C. 470f)
• 36 CFR Part 800, "Protection of Historic Properties"
• 24 CFR Part 58, "Environmental Review Procedures for Entities Assuming HUD Environmental Responsibilities"

How do you determine which properties to consider? Here is the threshold for Historic Properties:
1. General Benchmark:

• Properties that are 50 years old or older. There could be exceptions.

2. "Historic properties" are defined as:

Properties listed on or determined eligible for listing on the National Register of Historic Places (NRHP), including individual properties, those properties defined as "contributing resources" in a historic district, archaeological sites, and properties of significance to federally recognized Indian tribes and Native Hawaiian organizations.

And to add insult to injury.... The City of Jacksonville's NSP3 Performance Report for 2nd Quarter 2013 states the following in the Activity Progress Narrative:

QuoteDue to the historic aspects of the program area, he City's Demolition and Clearance activity is reviewing opportunities to stabilize properties within the target area versus demolition.
Kim Pryor...Historic Springfield Resident...PSOS Founding Member

JaxUnicorn

I should have kept reading that 2nd Qtr Performance Report before hitting POST.  How about this?  ???  This City of Jacksonville REPORTED TO HUD that they used NSP3 funds to demolish/clear THREE properties within the nationally recognized historic district of Springfield.  REALLY Jacksonville?  What the hell are you thinking?!?!?!!!

Kim Pryor...Historic Springfield Resident...PSOS Founding Member

Cheshire Cat

Quote from: JaxUnicorn on September 30, 2013, 06:21:08 PM
I should have kept reading that 2nd Qtr Performance Report before hitting POST.  How about this?  ???  This City of Jacksonville REPORTED TO HUD that they used NSP3 funds to demolish/clear THREE properties within the nationally recognized historic district of Springfield.  REALLY Jacksonville?  What the hell are you thinking?!?!?!!!


The fact that they did report could be a good thing. 
Diane Melendez
We're all mad here!

iloveionia

1204 Walnut Street is the front porch they removed. We have the posts at Dancy for safe keeping. The house stands still. But the 2 E. 2nd properties as everyone knows are gone:demolished.


m74reeves

the hurston flower shop is included in the properties that were demolished with the nsp1 funds.
"Everyone has to have their little tooth of power. Everyone wants to be able to bite." -Mary Oliver

m74reeves

I'm reposting this list, b/c I think the earlier list by strider had a few duplications/omissions. There should be a total of 59 properties that were demolished in zip code 32206 using NSP1 funds per the public records released by the City.

32206 Fairfield 1424 17th Street East Demolition
32206 Springfield 245 17th Street East Demolition
32206 Phoenix 1952 Evergreen Avenue Demolition
32206 Springfield 1503 Ionia Street Demolition
32206 Brentwood 533 Golfair Boulevard Demolition
32206 East Jacksonville 1720 Danese Street Demolition
32206 East Jacksonville 1509 Evergreen Avenue Demolition
32206 East Jacksonville 1414 Florida Avenue Demolition
32206 East Jacksonville 702 Phelps Street Demolition
32206 East Jacksonville 1206 Franklin Street Demolition
32206 East Jacksonville 630 Phelps Street Demolition
32206 Long Branch 3126 Plateau Street Demolition
32206 Phoenix 1971 Phoenix Avenue Demolition
32206 Phoenix 2217 Evergreen Avenue Demolition
32206 Brentwood 165 West 40th Street Demolition
32206 Long Branch 2830 Blair Street Demolition
32206 Springfield 1721 Ionia Street Demolition
32206 Springfield 111 East 6th Street Demolition
32206 East Jacksonville 915 Palmetto Street Demolition
32206 Springfield 1221 Van Buren Street Demolition
32206 East Jacksonville 721 East 4th Street Demolition
32206 Brentwood 319 Woodbine Street Demolition
32206 East Jacksonville 1477 Evergreen Avenue Demolition
32206 Brentwood 665 Ivy Street Demolition
32206 East Jacksonville 1377 Milnor Street Demolition
32206 East Jacksonville 892 Van Buren Street Demolition
32206 Springfield 25 East 18th Street Demolition
32206 Springfield 2903 North Pearl Street Demolition
32206 Springfield 2050 Phoenix Avenue Demolition
32206 Brentwood 416 Alder Street Demolition
32206 Springfield 1630 Ionia Street Demolition
32206 East Jacksonville 1329 Evergreen Avenue Demolition
32206 Springfield 445 East 7th Street Demolition
32206 East Jacksonville 1351 Harrison Street Demolition
32206 Springfield 25 East 18th Street Demolition
32206 East Jacksonville 1461 Florida Avenue Demolition
32206 East Jacksonville 1410 Florida Avenue Demolition
32206 East Jacksonville 1410 Florida Avenue Demolition [sic? address given twice in list]
32206 Brentwood 103 Fern Street Demolition
32206 East Jacksonville 1458 Florida Avenue Demolition
32206 Brentwood 432 Golfair Boulevard Demolition
32206 Brentwood 40 West 27th Street Demolition
32206 East Jacksonville 636 Pippin Street Demolition
32206 Long Branch 1424 East 26th Street Demolition
32206 Phoenix 1230 East 13th Street Demolition
32206 Brentwood 415 West 23rd Street Demolition
32206 East Jacksonville 1057 East Union Street Demolition
32206 Brentwood 449 West 22nd Street Demolition
32206 Springfield 342 West 10th Street Demolition
32206 Brentwood 3902 Laurie Street Demolition
32206 East Jacksonville 1457 Evergreen Avenue Demolition
32206 Brentwood 3838 Perry Street Demolition
32206 Springfield 1341 Pearl Street Demolition
32206 Brentwood 630 East 28th Street Demolition
32206 East Jacksonville 1206 Franklin Street Demolition
32206 East Jacksonville 616 East 3rd Street Demolition
32206 Phoenix 1130 East 12th Street Demolition
32206 Springfield 1320 Ionia Street Demolition
32206 Brentwood 3320 North Pearl Street Demolition
"Everyone has to have their little tooth of power. Everyone wants to be able to bite." -Mary Oliver

sheclown


sheclown

Quote from: m74reeves on September 30, 2013, 11:02:18 PM
I'm reposting this list, b/c I think the earlier list by strider had a few duplications/omissions. There should be a total of 59 properties that were demolished in zip code 32206 using NSP1 funds per the public records released by the City.

32206 Fairfield 1424 17th Street East Demolition
32206 Springfield 245 17th Street East Demolition
32206 Phoenix 1952 Evergreen Avenue Demolition
32206 Springfield 1503 Ionia Street Demolition
32206 Brentwood 533 Golfair Boulevard Demolition
32206 East Jacksonville 1720 Danese Street Demolition
32206 East Jacksonville 1509 Evergreen Avenue Demolition
32206 East Jacksonville 1414 Florida Avenue Demolition
32206 East Jacksonville 702 Phelps Street Demolition
32206 East Jacksonville 1206 Franklin Street Demolition
32206 East Jacksonville 630 Phelps Street Demolition
32206 Long Branch 3126 Plateau Street Demolition
32206 Phoenix 1971 Phoenix Avenue Demolition
32206 Phoenix 2217 Evergreen Avenue Demolition
32206 Brentwood 165 West 40th Street Demolition
32206 Long Branch 2830 Blair Street Demolition
32206 Springfield 1721 Ionia Street Demolition
32206 Springfield 111 East 6th Street Demolition
32206 East Jacksonville 915 Palmetto Street Demolition
32206 Springfield 1221 Van Buren Street Demolition
32206 East Jacksonville 721 East 4th Street Demolition
32206 Brentwood 319 Woodbine Street Demolition
32206 East Jacksonville 1477 Evergreen Avenue Demolition
32206 Brentwood 665 Ivy Street Demolition
32206 East Jacksonville 1377 Milnor Street Demolition
32206 East Jacksonville 892 Van Buren Street Demolition
32206 Springfield 25 East 18th Street Demolition
32206 Springfield 2903 North Pearl Street Demolition
32206 Springfield 2050 Phoenix Avenue Demolition
32206 Brentwood 416 Alder Street Demolition
32206 Springfield 1630 Ionia Street Demolition
32206 East Jacksonville 1329 Evergreen Avenue Demolition
32206 Springfield 445 East 7th Street Demolition
32206 East Jacksonville 1351 Harrison Street Demolition
32206 Springfield 25 East 18th Street Demolition
32206 East Jacksonville 1461 Florida Avenue Demolition
32206 East Jacksonville 1410 Florida Avenue Demolition
32206 East Jacksonville 1410 Florida Avenue Demolition [sic? address given twice in list]
32206 Brentwood 103 Fern Street Demolition
32206 East Jacksonville 1458 Florida Avenue Demolition
32206 Brentwood 432 Golfair Boulevard Demolition
32206 Brentwood 40 West 27th Street Demolition
32206 East Jacksonville 636 Pippin Street Demolition
32206 Long Branch 1424 East 26th Street Demolition
32206 Phoenix 1230 East 13th Street Demolition
32206 Brentwood 415 West 23rd Street Demolition
32206 East Jacksonville 1057 East Union Street Demolition
32206 Brentwood 449 West 22nd Street Demolition
32206 Springfield 342 West 10th Street Demolition
32206 Brentwood 3902 Laurie Street Demolition
32206 East Jacksonville 1457 Evergreen Avenue Demolition
32206 Brentwood 3838 Perry Street Demolition
32206 Springfield 1341 Pearl Street Demolition
32206 Brentwood 630 East 28th Street Demolition
32206 East Jacksonville 1206 Franklin Street Demolition
32206 East Jacksonville 616 East 3rd Street Demolition
32206 Phoenix 1130 East 12th Street Demolition
32206 Springfield 1320 Ionia Street Demolition
32206 Brentwood 3320 North Pearl Street Demolition


Those in red are in the historic district

Our much fought for Patterson Apartments is on this list.  The neighborhood collected red hearts and peppered the lawn with them, begged the city not to demolish, and it did -- anyway.

sheclown